Matchs
NBA
Matchs
NBA

De Lyon à la Sloan Conference : un étudiant français parmi la crème des stats avancées

Actuellement élève à l’Ecole Centrale de Lyon, Gabin Rolland a présenté son papier de recherche sur les shooteurs à 3-points lors de la MIT Sloan Conference. Au coeur du coeur des stats avancées.

Chaque année, la MIT Sloan Conference réunit la crème des spécialités des stats avancées du côté de Boston. Et pour cette édition 2020, peu avant que le COVID-19 ne mette le monde du sport en pause, un jeune étudiant français s’est invité au cœur de ce prestigieux évènement, son papier sur la dépendance spatiale et temporelle des tirs à 3-points dans le basket ayant été choisi par les organisateurs afin d’être présenté aux visiteurs et participants.

«Il y a deux façons de présenter un papier de recherche à la Sloan Conference», explique ainsi Gabin Rolland, étudiant en troisième année à l’Ecole Centrale de Lyon. «Au tout départ, il y a 200 articles qui ont été soumis et ils ont sélectionné 9 articles, les meilleurs, pour une présentation orale à la conférence, et ensuite 13 articles pour une présentation en poster, donc avec un stand et un poster, où on présente nos recherches directement aux personnes qui viennent nous voir. C’était sur deux jours et on n’était pas obligé de rester à côté du poster toute la conférence, moi j’ai par exemple assisté aux présentations orales des papiers de recherches parce que ça m’intéressait beaucoup mais il y avait aussi des tas de conférences et de workshops (atelier de travail) qui étaient proposés et auxquels on pouvait participer. Donc j’ai partagé mon temps entre présenter mon poster en discutant avec les visiteurs et assister aux présentations.»

Placé dans le couloir qui relie les deux espaces importants de l’évènement, au gigantesque «Boston Convention and Exhibition Center», Gabin Rolland craignait de passer un peu inaperçu.

«J’avais un peu peur que les gens passent à côté des posters sans discuter, mais à chaque fois que je suis resté à côté de mon stand, j’ai échangé sans arrêt avec les gens et les retours étaient très bons», souffle-t-il. «Beaucoup de personnes étaient intéressées par l’étude. Et puis je ne savais pas à qui j’avais affaire quand je discutais avec les gens donc, souvent, c’étaient des étudiants ou des amateurs de basket qui venaient discuter avec moi parce que ça les intéressait de savoir comment on caractérisait les tirs à 3-points. Mais parfois, et je ne le savais qu’à la fin parce que les personnes se présentaient plutôt à la fin, j’ai aussi discuté avec les responsables des stats avancées dans les clubs NBA, comme les Hornets ou les Sixers. C’était assez sympa.»

Une étude sur l’utilisation de l’espace et du temps à 3-points

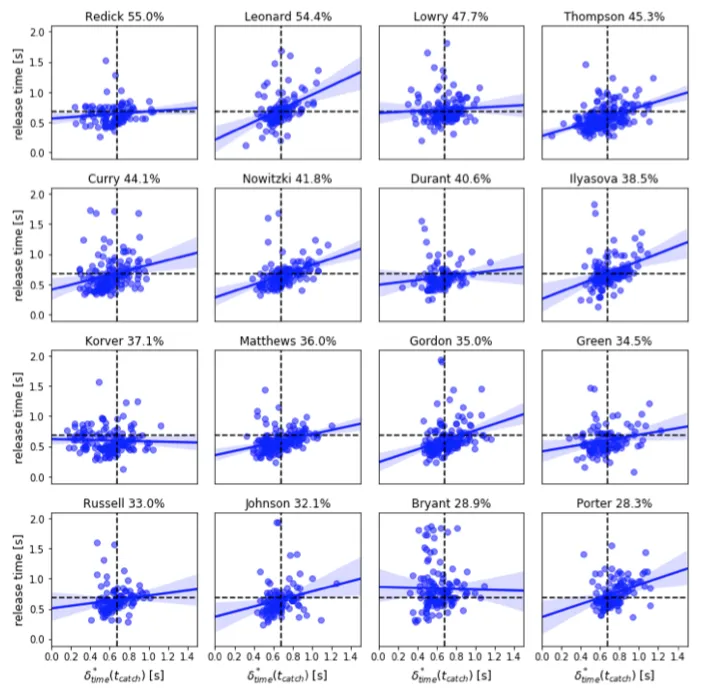
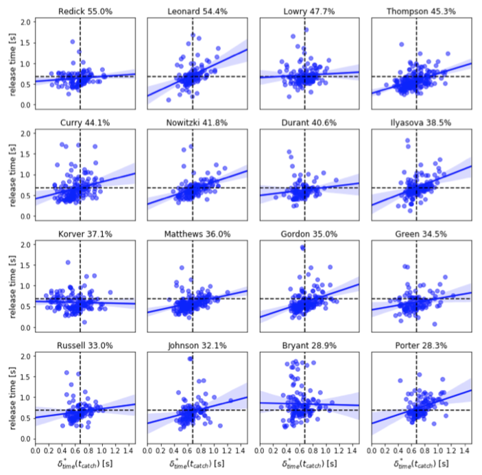
L’étude en question étudie ainsi les données SportVU pour représenter l’espace et le temps libres utilisés par les shooteurs à 3-points, ainsi que la durée du shoot.

En bleu, on voit ainsi que les shooteurs en sortie de dribble voient leur espace (graphique de gauche) et leur temps (graphique de droite) libre diminuer jusqu’au moment du tir. En jaune plein, il s’agit des catch-and-shooteurs libres sur une bonne partie de l’action (sans doute côté faible) alors qu’en jaune discontinu, on peut suivre les catch-and-shooteurs qui doivent faire l’effort de se démarquer juste avant leur shoot.

Cela permet de visualiser des profils très différents, JJ Redick et Kyle Korver utilisant ainsi un temps remarquablement constant pour shooter, peu importe le temps et l’espace disponible, quand des joueurs comme Kawhi Leonard ou Ersan Ilyasova utilisent d’autant plus temps qu’ils ont de temps et d’espace devant eux.

Comme Joe Johnson et Eric Gordon, Kawhi Leonard prend d’ailleurs la très grande majorité de ses tirs lorsqu’ils sont ouverts (avec un défenseur à plus de 6 pieds, soit 1m80) quand des joueurs comme Kyle Korver, Klay Thompson et Stephen Curry shootent sans vraiment tenir compte de la séparation.

On peut aussi voir que D’Angelo Russell rate la plupart des tirs sur lesquels le défenseur est proche, alors qu’il est par contre extrêmement adroit quand il est très ouvert. Enfin, Kobe Bryant est une particularité, car sur les 632 matchs de la saison 2015-2016 étudiés, l’arrière des Lakers est le seul joueur analysé qui préférait les tirs défendus aux tirs ouverts, et surtout qui prenait plus de temps pour shooter avec un défenseur proche de lui…

À la jonction entre visualisation, mécanique des fluides et sport

Une étude fruit d’un long cheminement, démarré par Romain Vuillemot, professeur à l’Ecole Centrale de Lyon et chercheur au laboratoire LIRIS (associé au CNRS).

«Moi j’ai fait une thèse en informatique, en visualisation de données, à l’INSA», détaille-t-il. «Et en 2011-2012, c’est quand Opta a commencé à émerger pour le football. Ils ont collecté des données manuellement et ils ont eu de très bons jeux de données, que personne n’avait jamais eus avant. Ils nous ont donné un jeu de données, ce qui nous a permis de faire un papier, qui est un peu la référence dans notre microdomaine de la visualisation interactive de données. Donc depuis cette date, je m’intéresse la visualisation des données sportives. Après, entre 2012 et 2016, j’ai fait de la recherche mais davantage sur des données économiques mais le sport m’intéressait toujours et en 2016, j’ai été recruté à l’Ecole Centrale de Lyon et j’ai été mis en relation, via un tweet du directeur de la recherche de l’école, avec un autre chercheur (Wouter Bos) en mécanique des fluides qui venait de publier un papier sur comment analyser des données de football avec des modèles de particules. Donc il y avait trois mondes qui n’ont normalement rien à voir : la visualisation, la mécanique des fluides et le sport.»

Trois mondes qui vont échanger afin d’obtenir ce papier présenté à la MIT Sloan Conference 2020.

«Donc avec ce chercheur, on s’est dit qu’on allait commencer à recruter des étudiants pour commencer à défricher le domaine et formaliser la collaboration. On a eu une première génération d’étudiants, avant Gabin (Rolland) qui avait commencé à analyser les données de sport et ils avaient pas mal réfléchi, même si ce n’était pas allé très, très loin. Gabin (Rolland) est lui arrivé l’année suivante, donc en 2018, et il a repris le projet, et on a commencé à avoir cette idée de modèle d’occupation.»

Une porte qui s’ouvre pour travailler dans un club professionnel ?

Avec l’aide d’un autre étudiant (Nathan Rivière), Gabin Rolland va être le principal moteur de ce papier, qui va lui permettre d’être invité à Boston et d’assister à une rencontre des Celtics.

«Le responsable des stats avancées des Hornets m’a donné sa carte en me disant de le contacter le jour où j’aurai fini mes études, si j’avais envie de travailler dans ce domaine-là et ensuite beaucoup de personnes m’ont contacté sur LinkedIn ou sur Twitter pour avoir des informations», continue-t-il. «Des étudiants qui veulent travailler dans le domaine des stats avancées et qui m’ont demandé des conseils, ou pour simplement savoir comment ça s’était déroulé. D’autres qui veulent faire des études et qui m’ont demandé où j’avais trouvé les données. Il y avait aussi un coach personnel, qui travaille avec certains joueurs NBA, qui m’a dit que c’était intéressant et que je pourrais compléter avec des études à lui, davantage orientées sur le comportement des joueurs. Il m’a transmis ses études en me demandant de regarder ça pour compléter mon analyse.»

Car la Sloan Conference, c’est surtout un lieu d’échanges.

«Il y a eu pas mal de retours sur notre papier, pour savoir ce qu’on pourrait améliorer, et l’une des choses qui revient beaucoup, c’était la prise en compte de la taille du défenseur dans l’ouverture d’un tir, parce qu’un défenseur de plus de 2m qui se situe à moins de deux mètres au moment du shoot a plus d’influence qu’un défenseur de 1m70, en exagérant. C’est quelque chose qu’on ne prend pas en compte alors que ça a une influence dans la sélection du tir, si le shooteur voit que le joueur en face de lui est beaucoup plus petit. Il y a aussi le fait qu’on prend en compte le temps que le défenseur mettrait pour rejoindre le shooteur, alors que les catch-and-shoot sont pris suite à un écran d’un autre joueur. Du coup, même si le défenseur est proche, vu qu’il est bloqué derrière un écran, le shoot reste très ouvert. Il y a vraiment eu beaucoup, beaucoup de retours sur comment aller plus loin, et comment avoir une approche prédictive. Notamment en essayant de prévoir, étant donné un espace libre donné, la probabilité que le shooteur réussisse dans cette position-là. Ou en essayant de faire le même travail sur les shoots en sortie de dribble, en remplaçant le moment où le joueur attrape le ballon par le moment où le joueur arrête de dribbler. Et enfin de prendre en compte l’horloge, parce que certains joueurs adaptent leur temps de tir en fonction du temps libre disponible quand ils reçoivent la balle, mais ça dépend aussi du temps écoulé sur l’horloge. Donc ce serait intéressant de voir la corrélation entre le temps restant sur l’horloge et le temps de tir.»

Ce papier de recherche n’est donc peut-être qu’un début pour l’étudiant de l’Ecole Centrale de Lyon, qui aimerait bien intégrer l’organigramme d’un club professionnel à la fin de ses études. Au cours de son cursus, il avait d’ailleurs travaillé avec Elric Delord, alors assistant à l’ASVEL, pour monter à la LFB que les données statistiques étaient sous-exploitées dans le championnat français. Une collaboration qui n’avait duré que deux mois.

Suivez toute l'actualité NBA sur la chaîne WhatsApp de Basket USA

Suivez nous également sur Google Actualités

Rédacteur de contenu Dimitri Kucharczyk

Tombé amoureux de la balle orange au son de la voix de George Eddy et des arabesques de Penny Hardaway et Hakeem Olajuwon, Dimitri a intégré BasketUSA en 2008, avant d'en devenir rédacteur en chef

Tags →
Le fil info en direct
Commentaires
Forum (et HS)  |   +  |   Règles et contenus illicites  |   0 commentaire Afficher les commentaires

Laisser un commentaire

Votre adresse e-mail ne sera pas publiée. Les champs obligatoires sont indiqués avec *