Mercredi soir, ESPN a mis en avant deux chiffres qui illustrent l’incroyable saison des Warriors. Golden State est ainsi la première équipe à gagner ses matches en moyenne par plus de 11.5 points d’écart. Personne n’a fait mieux depuis les Chicago Bulls de 1996 ! La troupe de Steve Kerr (victoire par 11.8 points en moyenne) crée également plus d’écart en première mi-temps (8 points d’avance en moyenne à la pause) que toutes les autres équipes pendant tout le match…
Deuxième de ce classement, Atlanta ne gagne ainsi ses matches “que” par 7.1 points d’écart. En vérifiant sur Basketball-Reference, seules trois équipes ont gagné leurs matches avec une marge supérieure à 11.5 points. Il s’agit des Milwaukee Bucks de 1971, des Los Angeles Lakers de 1972 et des Chicago Bulls de 1996. Trois équipes qui ont ensuite remporté le titre.
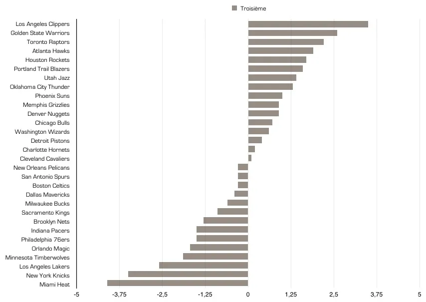
Voici la représentation des écarts créés par chaque équipe, quart-temps par quart-temps (il est possible d’agrandir l’image en cliquant dessus).
Les Warriors sont donc les maîtres du premier (3 points d’écart en moyenne) et du deuxième quart-temps (5 points d’écart en moyenne). De leur côté, les Sixers souffrent beaucoup en début (-5.5 points d’écart) mais aussi en fin de match (-2.8 points d’écart). Ce sont par contre les Wolves (-4.4 points d’écart) qui sont les cancres du deuxième quart-temps alors que le Heat a beaucoup de mal à reprendre son match après la mi-temps (-4.1 points d’écart dans le troisième quart-temps). Plus globalement, Miami souffre en seconde mi-temps.
Je vous laisse désormais étudier les tendances de votre équipe favorite.

